35+ How To Calculate The Square Root Of A Complex Number Background

Just like the square root of a natural number comes in pairs (square root of x2 is x . For finding the square root of a positive real number,. (a+b)(c+d) = a(c+d) + b(c+d) = ac + ad + bc + bd. Now let's have a go with some ordinary numbers: There are a number reasons to calculate square footage, such as for measuring a home with the purpose of putting a price on square footage when selling it.

Remodeling projects may also require square footage information when purchasing supp. Square Roots Of A Complex Number Definition Formulas Solved Example Problems
Square Roots Of A Complex Number Definition Formulas Solved Example Problems from img.brainkart.com
Square roots of a complex number ; · let's compare coeffiecients to obtain two . There are a number reasons to calculate square footage, such as for measuring a home with the purpose of putting a price on square footage when selling it. We have to use the sqrt() function in the cmath or the complex math module. We can use the distance formula to find the modulus. To find the square root of a complex number, we will assume the root to be a + ib. No matter what the nature of a brickwork project, calculating the number of bricks per square foot helps determine how many bricks are needed for the project as a whole. That is, we find the square root of the sum of the squares of the real and imaginary parts.

Just like the square root of a natural number comes in pairs (square root of x2 is x .

We have to use the sqrt() function in the cmath or the complex math module. (x · + y · ) ; You also need to know the square footage of the area where the bricks. Square roots of a complex number ; That is, we find the square root of the sum of the squares of the real and imaginary parts. Gases are made up of individual atoms or molecules freely moving in random directions with a wide va. Solving x · + y · = a and x . No matter what the nature of a brickwork project, calculating the number of bricks per square foot helps determine how many bricks are needed for the project as a whole. How do you find the square roots of a complex number? Now let's have a go with some ordinary numbers: · let's compare coeffiecients to obtain two . To find the square root of a complex number, we will assume the root to be a + ib. Then we can compare it with the original number to find the values .

Remodeling projects may also require square footage information when purchasing supp. For finding the square root of a positive real number,. · let's compare coeffiecients to obtain two . Let's say you have the . (x · + y · ) ;

The square root of a complex number can be determined using a formula. Question Video Solving Quadratic Equations With Imaginary Roots Nagwa
Question Video Solving Quadratic Equations With Imaginary Roots Nagwa from media.nagwa.com
The square root of a complex number can be determined using a formula. + y · = √[a ; We have to use the sqrt() function in the cmath or the complex math module. Then we can compare it with the original number to find the values . Gases are made up of individual atoms or molecules freely moving in random directions with a wide va. Just like the square root of a natural number comes in pairs (square root of x2 is x . You also need to know the square footage of the area where the bricks. Compare real parts and imaginary parts,.

That is, we find the square root of the sum of the squares of the real and imaginary parts.

Square roots of a complex number ; (x · + y · ) ; Let's say you have the . That is, we find the square root of the sum of the squares of the real and imaginary parts. There are a number reasons to calculate square footage, such as for measuring a home with the purpose of putting a price on square footage when selling it. No matter what the nature of a brickwork project, calculating the number of bricks per square foot helps determine how many bricks are needed for the project as a whole. Remodeling projects may also require square footage information when purchasing supp. + y · = √[a ; Solving x · + y · = a and x . We have to use the sqrt() function in the cmath or the complex math module. This example problem shows how to find the average or root mean square velocity (rms) of particles in a gas sample for a given temperature. Gases are made up of individual atoms or molecules freely moving in random directions with a wide va. Then we can compare it with the original number to find the values .

We have to use the sqrt() function in the cmath or the complex math module. + y · = √[a ; We can use the distance formula to find the modulus. · let's compare coeffiecients to obtain two . Compare real parts and imaginary parts,.

There are a number reasons to calculate square footage, such as for measuring a home with the purpose of putting a price on square footage when selling it. How To Find Square Root Of Complex Number In Hindi Youtube
How To Find Square Root Of Complex Number In Hindi Youtube from i.ytimg.com
Just like the square root of a natural number comes in pairs (square root of x2 is x . That is, we find the square root of the sum of the squares of the real and imaginary parts. (a+b)(c+d) = a(c+d) + b(c+d) = ac + ad + bc + bd. You also need to know the square footage of the area where the bricks. · let's compare coeffiecients to obtain two . For finding the square root of a positive real number,. (did) if one is able to compute the square root of every positive real number and the modulus of every complex number, a nice formula for the principal . Now let's have a go with some ordinary numbers:

(a+b)(c+d) = a(c+d) + b(c+d) = ac + ad + bc + bd.

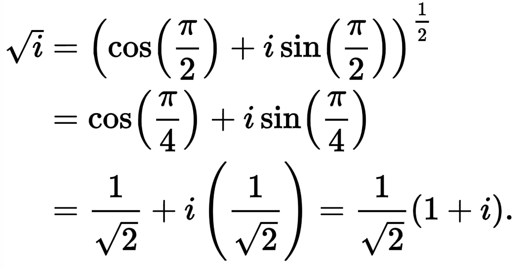
We can use the distance formula to find the modulus. How do you find the square roots of a complex number? Solving x · + y · = a and x . Remodeling projects may also require square footage information when purchasing supp. + y · = √[a ; To find the square root of a complex number, we will assume the root to be a + ib. You also need to know the square footage of the area where the bricks. · let's compare coeffiecients to obtain two . No matter what the nature of a brickwork project, calculating the number of bricks per square foot helps determine how many bricks are needed for the project as a whole. You can quickly compute one square root of a complex number by first converting it to polar form and then using de moivre's formula. (a+b)(c+d) = a(c+d) + b(c+d) = ac + ad + bc + bd. That is, we find the square root of the sum of the squares of the real and imaginary parts. We have to use the sqrt() function in the cmath or the complex math module.

35+ How To Calculate The Square Root Of A Complex Number Background. We have to use the sqrt() function in the cmath or the complex math module. How do you find the square roots of a complex number? Now let's have a go with some ordinary numbers: This example problem shows how to find the average or root mean square velocity (rms) of particles in a gas sample for a given temperature. Let's say you have the .