33+ Completing The Square If A Is Not 1 PNG

General education it’s pretty much a guarantee that you’ll see quadratic equations on. A square is primarily used to keep things perpendicular, but it's also a handy measuring tool. Wondering how to solve quadratic equations by completing the square? This equation is already in the proper form where a = 2 and . There are a number reasons to calculate square footage, such as for measuring a home with the purpose of putting a price on square footage when selling it.

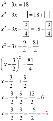
Solve a quadratic equation by completing the square. Mr Bartons Maths Notes Algebra 7 Solving Quadratic
Mr Bartons Maths Notes Algebra 7 Solving Quadratic from slidetodoc.com
Suppose the quadratic equation is of the form: A square is primarily used to keep things perpendicular, but it's also a handy measuring tool. There are a number reasons to calculate square footage, such as for measuring a home with the purpose of putting a price on square footage when selling it. Solve a quadratic equation by completing the square. · x^2 + (b/a)x +(c/a)=0. Write the equation in the general form. This equation is already in the proper form where a = 2 and . · a x^2 + bx + c=0 where a,b,c are constants & x is variable.

There are a number reasons to calculate square footage, such as for measuring a home with the purpose of putting a price on square footage when selling it.

This equation is already in the proper form where a = 2 and . Write the equation in the general form. Completing the square when a ≠ 1 ; Suppose the quadratic equation is of the form: The pattern used to complete the square only works if the coefficient of x^2 is = 1. · x^2 + (b/a)x +(c/a)=0. Ax2 + bx + c = 0. Doceri is free in the itunes app store. A square is primarily used to keep things perpendicular, but it's also a handy measuring tool. This lesson covers completing the square when the leading coefficient is not equal to one. Wondering how to solve quadratic equations by completing the square? Learn all about squares on this page. Our guide walks you through the process of how to complete the square, with examples.

Solve a quadratic equation by completing the square. Solve quadratic by completing the square (a not 1). Remodeling projects may also require square footage information when purchasing supp. Completing the square when a ≠ 1 ; Example of using completing the square to solve a quadratic equation, when a is not equal to 1 (factoring the lead coefficient)

General education it’s pretty much a guarantee that you’ll see quadratic equations on. 11 2 Solving Quadratic Equations By Completing The Square Ppt Video Online Download
11 2 Solving Quadratic Equations By Completing The Square Ppt Video Online Download from slideplayer.com
· a x^2 + bx + c=0 where a,b,c are constants & x is variable. · x^2 + (b/a)x +(c/a)=0. A square is primarily used to keep things perpendicular, but it's also a handy measuring tool. The pattern used to complete the square only works if the coefficient of x^2 is = 1. When faced with a quadratic expression where the coefficient of x2 is not 1 we can . Wondering how to solve quadratic equations by completing the square? Well, one reason is given above, where the new form not only . Suppose the quadratic equation is of the form:

Completing the square when a ≠ 1 ;

This equation is already in the proper form where a = 2 and . Solve quadratic by completing the square (a not 1). Our guide walks you through the process of how to complete the square, with examples. Suppose the quadratic equation is of the form: This lesson covers completing the square when the leading coefficient is not equal to one. General education it’s pretty much a guarantee that you’ll see quadratic equations on. · x^2 + (b/a)x +(c/a)=0. Write the equation in the general form. Wondering how to solve quadratic equations by completing the square? Learn all about squares on this page. Ax2 + bx + c = 0. This video explains how to complete the square to solve a quadratic equation.library: There are a number reasons to calculate square footage, such as for measuring a home with the purpose of putting a price on square footage when selling it.

Our guide walks you through the process of how to complete the square, with examples. Wondering how to solve quadratic equations by completing the square? Suppose the quadratic equation is of the form: Learn all about squares on this page. Example of using completing the square to solve a quadratic equation, when a is not equal to 1 (factoring the lead coefficient)

· to complete the square,. Ppt Completing The Square 1 7 Powerpoint Presentation Free Download Id 5403582
Ppt Completing The Square 1 7 Powerpoint Presentation Free Download Id 5403582 from image3.slideserve.com
This equation is already in the proper form where a = 2 and . General education it’s pretty much a guarantee that you’ll see quadratic equations on. When faced with a quadratic expression where the coefficient of x2 is not 1 we can . Completing the square when a ≠ 1 ; · x^2 + (b/a)x +(c/a)=0. Remodeling projects may also require square footage information when purchasing supp. This video screencast was created with doceri on an ipad. Suppose the quadratic equation is of the form:

· to complete the square,.

Learn all about squares on this page. Solve a quadratic equation by completing the square. Why complete the square when we can just use the quadratic formula to solve a quadratic equation? Example of using completing the square to solve a quadratic equation, when a is not equal to 1 (factoring the lead coefficient) There are a number reasons to calculate square footage, such as for measuring a home with the purpose of putting a price on square footage when selling it. · a x^2 + bx + c=0 where a,b,c are constants & x is variable. Solve quadratic by completing the square (a not 1). If the coefficient is not 1, dividing the middle term by 2 and squaring . This lesson covers completing the square when the leading coefficient is not equal to one. Write the equation in the general form. Suppose the quadratic equation is of the form: Completing the square when a ≠ 1 ; When faced with a quadratic expression where the coefficient of x2 is not 1 we can .

33+ Completing The Square If A Is Not 1 PNG. There are a number reasons to calculate square footage, such as for measuring a home with the purpose of putting a price on square footage when selling it. Suppose the quadratic equation is of the form: Our guide walks you through the process of how to complete the square, with examples. Ax2 + bx + c = 0. · a x^2 + bx + c=0 where a,b,c are constants & x is variable.