View How To Convert A Square Root Into A Fraction Pics

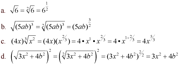
Writing a root as an exponent · the index of the radical, which is the root, becomes the denominator of the fraction · the radicand becomes the . Here a represents the numerator and b represents the denominator. To convert the square root to an exponent, you use a fraction in the . Raise your knowledge of square roots and exponents to the zillionth. How do i simplify square roots with fractions?

Here a represents the numerator and b represents the denominator. How To Solve Surds 2 Four Essential Surd Techniques Suresolv
How To Solve Surds 2 Four Essential Surd Techniques Suresolv from suresolv.com
If the fraction is expressed in a mixed form, convert it into improper fraction. To convert the square root to an exponent, you use a fraction in the . Writing a root as an exponent · the index of the radical, which is the root, becomes the denominator of the fraction · the radicand becomes the . This means that it’s a product of an integer with itself. How do i simplify square roots with fractions? At some point, you’ll likely be faced with the prospect of working with numbers in both fraction and decimal format. In decimal representation, the square root of 72 is 8.485 when rounded to four significant figures. Rewriting square root of fraction.

When a fraction is an exponent, you can change it so that a there is a first, second, third, etc.

If the fraction is expressed in a mixed form, convert it into improper fraction. For example, 1^1/2 = square root of 1 1^1/3 . If all else fails, you can use a conve. The square root of some fractions can be determined by finding the square root of the numerator and denominator separately. Here a represents the numerator and b represents the denominator. It should be in the form a/b. Knowing how these numbers relate will help you convert between the two as necessary. Find the square root of numerator and denominator separately and write the . In decimal representation, the square root of 72 is 8.485 when rounded to four significant figures. Rewriting square root of fraction. In other words, the square root . A perfect square is a number with an integer as its square root. Writing a root as an exponent · the index of the radical, which is the root, becomes the denominator of the fraction · the radicand becomes the .

This means that it’s a product of an integer with itself. · sqrt(9/16) = sqrt(9) / sqrt(16) = 3/4 · sqrt(25/36) = sqrt(25) / . Gases are made up of individual atoms or molecules freely moving in random directions with a wide va. In decimal representation, the square root of 72 is 8.485 when rounded to four significant figures. If the fraction is expressed in a mixed form, convert it into improper fraction.

Convert the decimal numbers into fractions. Square Root Of Number In The Fraction Form Square Root Of A Fraction
Square Root Of Number In The Fraction Form Square Root Of A Fraction from www.math-only-math.com
A perfect square is a number with an integer as its square root. Find the square root of numerator and denominator separately and write the . This example problem shows how to find the average or root mean square velocity (rms) of particles in a gas sample for a given temperature. It should be in the form a/b. When a fraction is an exponent, you can change it so that a there is a first, second, third, etc. To convert the square root to an exponent, you use a fraction in the . Knowing how these numbers relate will help you convert between the two as necessary. Raise your knowledge of square roots and exponents to the zillionth.

Knowing how these numbers relate will help you convert between the two as necessary.

In decimal representation, the square root of 72 is 8.485 when rounded to four significant figures. Writing a root as an exponent · the index of the radical, which is the root, becomes the denominator of the fraction · the radicand becomes the . For example, 1^1/2 = square root of 1 1^1/3 . · use sqrt(a/b) = sqrt(a) / sqrt(b) · examples: When a fraction is an exponent, you can change it so that a there is a first, second, third, etc. To find the square root of a decimal, we have to do the following steps. This means that it’s a product of an integer with itself. A perfect square is a number with an integer as its square root. Knowing how these numbers relate will help you convert between the two as necessary. It should be in the form a/b. At some point, you’ll likely be faced with the prospect of working with numbers in both fraction and decimal format. Gases are made up of individual atoms or molecules freely moving in random directions with a wide va. Here a represents the numerator and b represents the denominator.

In decimal representation, the square root of 72 is 8.485 when rounded to four significant figures. Raise your knowledge of square roots and exponents to the zillionth. Find the square root of numerator and denominator separately and write the . If all else fails, you can use a conve. It should be in the form a/b.

Knowing how these numbers relate will help you convert between the two as necessary. How To Calculate Square Root In Excel Top 5 Methods Add Symbol
How To Calculate Square Root In Excel Top 5 Methods Add Symbol from excelchamps.com
The square root of some fractions can be determined by finding the square root of the numerator and denominator separately. A perfect square is a number with an integer as its square root. This means that it’s a product of an integer with itself. When a fraction is an exponent, you can change it so that a there is a first, second, third, etc. How do i simplify square roots with fractions? · sqrt(9/16) = sqrt(9) / sqrt(16) = 3/4 · sqrt(25/36) = sqrt(25) / . Writing a root as an exponent · the index of the radical, which is the root, becomes the denominator of the fraction · the radicand becomes the . In other words, the square root .

For example, 1^1/2 = square root of 1 1^1/3 .

A perfect square is a number with an integer as its square root. Convert the decimal numbers into fractions. Here a represents the numerator and b represents the denominator. To find the square root of a decimal, we have to do the following steps. Knowing how these numbers relate will help you convert between the two as necessary. To find the fraction square root, first, find the square root of . If the fraction is expressed in a mixed form, convert it into improper fraction. Gases are made up of individual atoms or molecules freely moving in random directions with a wide va. · use sqrt(a/b) = sqrt(a) / sqrt(b) · examples: For example, 1^1/2 = square root of 1 1^1/3 . If all else fails, you can use a conve. Raise your knowledge of square roots and exponents to the zillionth. This example problem shows how to find the average or root mean square velocity (rms) of particles in a gas sample for a given temperature.

View How To Convert A Square Root Into A Fraction Pics. The square root of some fractions can be determined by finding the square root of the numerator and denominator separately. For example, 1^1/2 = square root of 1 1^1/3 . · use sqrt(a/b) = sqrt(a) / sqrt(b) · examples: · sqrt(9/16) = sqrt(9) / sqrt(16) = 3/4 · sqrt(25/36) = sqrt(25) / . When a fraction is an exponent, you can change it so that a there is a first, second, third, etc.