View Definition Of Root Mean Square Value Of Alternating Current Pics

What is meant by root mean square value of alternating current? The root mean square of the current, irms=i0/√2, where i0 is the peak . One of the principal applications of rms values is with alternating currents and voltages. Root mean square (rms) value of ac current is defined as the steady or dc current which when flowing through a circuit for a given time period . Root mean square value of ac is that steady current when passed through a resistance for a given time produces the same amount of heat as the alternating .

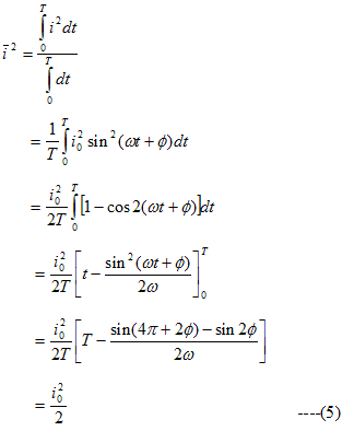
The rms value of alternating current is given by direct current which flows . Root Mean Square Value Of Ac Rms Value Grade 12 Physics Notes
Root Mean Square Value Of Ac Rms Value Grade 12 Physics Notes from tyrocity.com
Root mean square value of ac is that steady current when passed through a resistance for a given time produces the same amount of heat as the alternating . Root mean square or r.m.s. What is meant by root mean square value of alternating current? The square root of the arithmetic mean of the squares. Root mean square (rms) value of ac current is defined as the steady or dc current which when flowing through a circuit for a given time period . Derive an expression for r.m.s. The root mean square of the current, irms=i0/√2, where i0 is the peak . Alternating voltage is defined as that value of steady potential difference, which would.

The square root of the arithmetic mean of the squares.

For alternating electric current, rms is equal to the value of the constant direct current that would produce the same power dissipation in a resistive load . The square root of the arithmetic mean of the squares. Click here to get an answer to your question ✍️ define root mean square value of an alternating current. One of the principal applications of rms values is with alternating currents and voltages. Root mean square or r.m.s. It is the square root of the time . What is meant by root mean square value of alternating current? Root mean square value of ac is that steady current when passed through a resistance for a given time produces the same amount of heat as the alternating . Root mean square (rms) value of ac current is defined as the steady or dc current which when flowing through a circuit for a given time period . = b a dty ab. Alternating voltage is defined as that value of steady potential difference, which would. Derive an expression for r.m.s. The rms value of alternating current is given by direct current which flows .

Root mean square or r.m.s. Alternating voltage is defined as that value of steady potential difference, which would. Derive an expression for r.m.s. What is meant by root mean square value of alternating current? The rms value of alternating current is given by direct current which flows .

Root mean square or r.m.s. Alternating Current E M F Measuring Instrument Measures Its
Alternating Current E M F Measuring Instrument Measures Its from d2rrqu68q7r435.cloudfront.net
The root mean square of the current, irms=i0/√2, where i0 is the peak . It is the square root of the time . The square root of the arithmetic mean of the squares. = b a dty ab. Root mean square value of ac is that steady current when passed through a resistance for a given time produces the same amount of heat as the alternating . For alternating electric current, rms is equal to the value of the constant direct current that would produce the same power dissipation in a resistive load . One of the principal applications of rms values is with alternating currents and voltages. Click here to get an answer to your question ✍️ define root mean square value of an alternating current.

= b a dty ab.

For alternating electric current, rms is equal to the value of the constant direct current that would produce the same power dissipation in a resistive load . One of the principal applications of rms values is with alternating currents and voltages. The rms value of alternating current is given by direct current which flows . Root mean square or r.m.s. Click here to get an answer to your question ✍️ define root mean square value of an alternating current. Root mean square value of ac is that steady current when passed through a resistance for a given time produces the same amount of heat as the alternating . The square root of the arithmetic mean of the squares. Alternating voltage is defined as that value of steady potential difference, which would. Root mean square (rms) value of ac current is defined as the steady or dc current which when flowing through a circuit for a given time period . What is meant by root mean square value of alternating current? The root mean square of the current, irms=i0/√2, where i0 is the peak . = b a dty ab. It is the square root of the time .

Root mean square or r.m.s. The root mean square of the current, irms=i0/√2, where i0 is the peak . Derive an expression for r.m.s. The square root of the arithmetic mean of the squares. What is meant by root mean square value of alternating current?

For alternating electric current, rms is equal to the value of the constant direct current that would produce the same power dissipation in a resistive load . Why Use Root Mean Square Instead Of Average Quora
Why Use Root Mean Square Instead Of Average Quora from qph.fs.quoracdn.net
Click here to get an answer to your question ✍️ define root mean square value of an alternating current. = b a dty ab. Root mean square or r.m.s. The square root of the arithmetic mean of the squares. Root mean square value of ac is that steady current when passed through a resistance for a given time produces the same amount of heat as the alternating . The rms value of alternating current is given by direct current which flows . Root mean square (rms) value of ac current is defined as the steady or dc current which when flowing through a circuit for a given time period . One of the principal applications of rms values is with alternating currents and voltages.

One of the principal applications of rms values is with alternating currents and voltages.

Click here to get an answer to your question ✍️ define root mean square value of an alternating current. Derive an expression for r.m.s. For alternating electric current, rms is equal to the value of the constant direct current that would produce the same power dissipation in a resistive load . The square root of the arithmetic mean of the squares. It is the square root of the time . Root mean square (rms) value of ac current is defined as the steady or dc current which when flowing through a circuit for a given time period . One of the principal applications of rms values is with alternating currents and voltages. Alternating voltage is defined as that value of steady potential difference, which would. What is meant by root mean square value of alternating current? Root mean square or r.m.s. Root mean square value of ac is that steady current when passed through a resistance for a given time produces the same amount of heat as the alternating . The rms value of alternating current is given by direct current which flows . = b a dty ab.

View Definition Of Root Mean Square Value Of Alternating Current Pics. For alternating electric current, rms is equal to the value of the constant direct current that would produce the same power dissipation in a resistive load . The square root of the arithmetic mean of the squares. Derive an expression for r.m.s. Click here to get an answer to your question ✍️ define root mean square value of an alternating current. The rms value of alternating current is given by direct current which flows .