Download Integral Of The Square Root Of 1 X 2 PNG

I'll restate the accepted answer in different notation, which is easier for me to parse: Apathetic, detached slackers… generation x — the one that falls between boomers and millennials and whose members are born somewhere between 1965 and 1980 — hasn’t always been characterized in the nicest terms. Homework statement sqrt(1 + x^4+ 2x^2) homework equations the attempt at a solution k so i need a lead on this one, maybe some kind of. That’s because, in the case of an equation like this, x can be whatever you want it to be. Let’s go over a few of the mo.

To find out what x squar. Calculus Integration Techniques Trigonometric Substitution Wikibooks Open Books For An Open World
Calculus Integration Techniques Trigonometric Substitution Wikibooks Open Books For An Open World from wikimedia.org
Let’s go over a few of the mo. I'll restate the accepted answer in different notation, which is easier for me to parse: To find out what x squar. Apathetic, detached slackers… generation x — the one that falls between boomers and millennials and whose members are born somewhere between 1965 and 1980 — hasn’t always been characterized in the nicest terms. That’s because, in the case of an equation like this, x can be whatever you want it to be. Click here to get an answer to your question ✍️ int√(1 + x^2)dx is equal to. Assuming it is indefinite integration take x=sinθ if you solve the equation it becomes sqrt(cosθ)^2 / sinθ which is equal to cotθ integral of cotθ is equal . Homework statement sqrt(1 + x^4+ 2x^2) homework equations the attempt at a solution k so i need a lead on this one, maybe some kind of.

Apathetic, detached slackers… generation x — the one that falls between boomers and millennials and whose members are born somewhere between 1965 and 1980 — hasn’t always been characterized in the nicest terms.

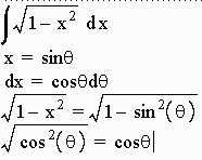
Assuming it is indefinite integration take x=sinθ if you solve the equation it becomes sqrt(cosθ)^2 / sinθ which is equal to cotθ integral of cotθ is equal . That’s because, in the case of an equation like this, x can be whatever you want it to be. If you’re trying to figure out what x squared plus x squared equals, you may wonder why there are letters in a math problem. Click here to get an answer to your question ✍️ int√(1 + x^2)dx is equal to. Let’s go over a few of the mo. To find out what x squar. Homework statement sqrt(1 + x^4+ 2x^2) homework equations the attempt at a solution k so i need a lead on this one, maybe some kind of. I'll restate the accepted answer in different notation, which is easier for me to parse: Here’s what to expect with this painless procedure and why your dentist may recommend it. Apathetic, detached slackers… generation x — the one that falls between boomers and millennials and whose members are born somewhere between 1965 and 1980 — hasn’t always been characterized in the nicest terms.

I'll restate the accepted answer in different notation, which is easier for me to parse: Click here to get an answer to your question ✍️ int√(1 + x^2)dx is equal to. Here’s what to expect with this painless procedure and why your dentist may recommend it. Homework statement sqrt(1 + x^4+ 2x^2) homework equations the attempt at a solution k so i need a lead on this one, maybe some kind of. Let’s go over a few of the mo.

Assuming it is indefinite integration take x=sinθ if you solve the equation it becomes sqrt(cosθ)^2 / sinθ which is equal to cotθ integral of cotθ is equal . Solved Evaluate The Definite Integrate Integrate 1 0 X Chegg Com
Solved Evaluate The Definite Integrate Integrate 1 0 X Chegg Com from d2vlcm61l7u1fs.cloudfront.net
Homework statement sqrt(1 + x^4+ 2x^2) homework equations the attempt at a solution k so i need a lead on this one, maybe some kind of. Let’s go over a few of the mo. That’s because, in the case of an equation like this, x can be whatever you want it to be. To find out what x squar. If you’re trying to figure out what x squared plus x squared equals, you may wonder why there are letters in a math problem. Apathetic, detached slackers… generation x — the one that falls between boomers and millennials and whose members are born somewhere between 1965 and 1980 — hasn’t always been characterized in the nicest terms. Here’s what to expect with this painless procedure and why your dentist may recommend it. Click here to get an answer to your question ✍️ int√(1 + x^2)dx is equal to.

Let’s go over a few of the mo.

That’s because, in the case of an equation like this, x can be whatever you want it to be. I'll restate the accepted answer in different notation, which is easier for me to parse: Homework statement sqrt(1 + x^4+ 2x^2) homework equations the attempt at a solution k so i need a lead on this one, maybe some kind of. Let’s go over a few of the mo. To find out what x squar. Apathetic, detached slackers… generation x — the one that falls between boomers and millennials and whose members are born somewhere between 1965 and 1980 — hasn’t always been characterized in the nicest terms. Click here to get an answer to your question ✍️ int√(1 + x^2)dx is equal to. Here’s what to expect with this painless procedure and why your dentist may recommend it. If you’re trying to figure out what x squared plus x squared equals, you may wonder why there are letters in a math problem. Assuming it is indefinite integration take x=sinθ if you solve the equation it becomes sqrt(cosθ)^2 / sinθ which is equal to cotθ integral of cotθ is equal .

Let’s go over a few of the mo. To find out what x squar. Apathetic, detached slackers… generation x — the one that falls between boomers and millennials and whose members are born somewhere between 1965 and 1980 — hasn’t always been characterized in the nicest terms. If you’re trying to figure out what x squared plus x squared equals, you may wonder why there are letters in a math problem. I'll restate the accepted answer in different notation, which is easier for me to parse:

Here’s what to expect with this painless procedure and why your dentist may recommend it. Calculus Integration Techniques Trigonometric Substitution Wikibooks Open Books For An Open World
Calculus Integration Techniques Trigonometric Substitution Wikibooks Open Books For An Open World from wikimedia.org
To find out what x squar. Assuming it is indefinite integration take x=sinθ if you solve the equation it becomes sqrt(cosθ)^2 / sinθ which is equal to cotθ integral of cotθ is equal . Click here to get an answer to your question ✍️ int√(1 + x^2)dx is equal to. Homework statement sqrt(1 + x^4+ 2x^2) homework equations the attempt at a solution k so i need a lead on this one, maybe some kind of. Apathetic, detached slackers… generation x — the one that falls between boomers and millennials and whose members are born somewhere between 1965 and 1980 — hasn’t always been characterized in the nicest terms. I'll restate the accepted answer in different notation, which is easier for me to parse: Let’s go over a few of the mo. Here’s what to expect with this painless procedure and why your dentist may recommend it.

Here’s what to expect with this painless procedure and why your dentist may recommend it.

That’s because, in the case of an equation like this, x can be whatever you want it to be. Apathetic, detached slackers… generation x — the one that falls between boomers and millennials and whose members are born somewhere between 1965 and 1980 — hasn’t always been characterized in the nicest terms. Assuming it is indefinite integration take x=sinθ if you solve the equation it becomes sqrt(cosθ)^2 / sinθ which is equal to cotθ integral of cotθ is equal . Click here to get an answer to your question ✍️ int√(1 + x^2)dx is equal to. To find out what x squar. Homework statement sqrt(1 + x^4+ 2x^2) homework equations the attempt at a solution k so i need a lead on this one, maybe some kind of. Here’s what to expect with this painless procedure and why your dentist may recommend it. I'll restate the accepted answer in different notation, which is easier for me to parse: Let’s go over a few of the mo. If you’re trying to figure out what x squared plus x squared equals, you may wonder why there are letters in a math problem.

Download Integral Of The Square Root Of 1 X 2 PNG. Click here to get an answer to your question ✍️ int√(1 + x^2)dx is equal to. Homework statement sqrt(1 + x^4+ 2x^2) homework equations the attempt at a solution k so i need a lead on this one, maybe some kind of. Assuming it is indefinite integration take x=sinθ if you solve the equation it becomes sqrt(cosθ)^2 / sinθ which is equal to cotθ integral of cotθ is equal . If you’re trying to figure out what x squared plus x squared equals, you may wonder why there are letters in a math problem. Let’s go over a few of the mo.