49+ How To Solve Square Roots With Imaginary Numbers PNG

To use imaginary numbers to simplify a square root with a negative radicand. In mathematics the symbol for √(−1) is i for . The square root of a + ib is ± (√{√(a2 + b2) + a/2} + ib/|b| √{[ . We can't solve this system as quickly as we did when we found the square root of i, but it still can be done. That is, no digit pair should straddle a decimal point.

So let us call this new number i and use it to represent the square root of. Section 7 8 Complex Numbers The Imaginary Number I Simplifying Square Roots Of Negative Numbers Complex Numbers And Their Form The Arithmetic Ppt Download
Section 7 8 Complex Numbers The Imaginary Number I Simplifying Square Roots Of Negative Numbers Complex Numbers And Their Form The Arithmetic Ppt Download from images.slideplayer.com
But the principal square root of 9 is only 3. Find the square root of a complex number. We can't solve this system as quickly as we did when we found the square root of i, but it still can be done. So let us call this new number i and use it to represent the square root of. To use imaginary numbers to simplify a square root with a negative radicand. The principal square root is the positive square root. The square root of a + ib is ± (√{√(a2 + b2) + a/2} + ib/|b| √{[ . That is, no digit pair should straddle a decimal point.

The principal square root is the positive square root.

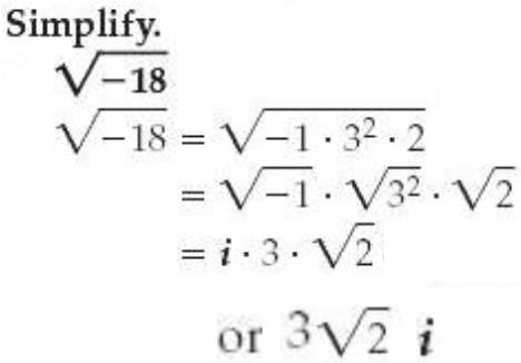
Solving the second equation for the variable b, we . We can't solve this system as quickly as we did when we found the square root of i, but it still can be done. To find a square root of a given complex number z, you first want to find a complex number w which has half the argument of z (since squaring doubles the . So let us call this new number i and use it to represent the square root of. That is, no digit pair should straddle a decimal point. Find the square root of a complex number. The square root of a + ib is ± (√{√(a2 + b2) + a/2} + ib/|b| √{[ . But the principal square root of 9 is only 3. The principal square root is the positive square root. Complex expressions with square roots can be simplified by using the letter 'i' to represent the square root of a negative number. To use imaginary numbers to simplify a square root with a negative radicand. Simplifying square roots using imaginary number i. The square root of complex number can be calculated by substituting the values in formula.

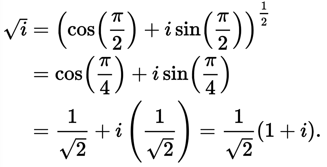
To find a square root of a given complex number z, you first want to find a complex number w which has half the argument of z (since squaring doubles the . Solving the second equation for the variable b, we . The square root of complex number can be calculated by substituting the values in formula. The principal square root is the positive square root. In mathematics the symbol for √(−1) is i for .

To find a square root of a given complex number z, you first want to find a complex number w which has half the argument of z (since squaring doubles the . How Do You Use The Square Root Method To Solve A Quadratic Equation With Imaginary Solutions If A 1 Virtual Nerd
How Do You Use The Square Root Method To Solve A Quadratic Equation With Imaginary Solutions If A 1 Virtual Nerd from cdn.virtualnerd.com
But the principal square root of 9 is only 3. The square root of a + ib is ± (√{√(a2 + b2) + a/2} + ib/|b| √{[ . The square root of minus one √(−1) is the unit imaginary number, the equivalent of 1 for real numbers. So let us call this new number i and use it to represent the square root of. Find the square root of a complex number. Simplifying square roots using imaginary number i. Solving the second equation for the variable b, we . In mathematics the symbol for √(−1) is i for .

The square root of a + ib is ± (√{√(a2 + b2) + a/2} + ib/|b| √{[ .

In mathematics the symbol for √(−1) is i for . But the principal square root of 9 is only 3. The principal square root is the positive square root. To find a square root of a given complex number z, you first want to find a complex number w which has half the argument of z (since squaring doubles the . To use imaginary numbers to simplify a square root with a negative radicand. We can't solve this system as quickly as we did when we found the square root of i, but it still can be done. So let us call this new number i and use it to represent the square root of. The square root of minus one √(−1) is the unit imaginary number, the equivalent of 1 for real numbers. Complex expressions with square roots can be simplified by using the letter 'i' to represent the square root of a negative number. The square root of complex number can be calculated by substituting the values in formula. Solving the second equation for the variable b, we . Find the square root of a complex number. That is, no digit pair should straddle a decimal point.

In mathematics the symbol for √(−1) is i for . The square root of complex number can be calculated by substituting the values in formula. So let us call this new number i and use it to represent the square root of. But the principal square root of 9 is only 3. The square root of a + ib is ± (√{√(a2 + b2) + a/2} + ib/|b| √{[ .

Solving the second equation for the variable b, we . Square Root In Excel Sqrt Function And Other Ways Ablebits Com
Square Root In Excel Sqrt Function And Other Ways Ablebits Com from cdn.ablebits.com
To use imaginary numbers to simplify a square root with a negative radicand. Complex expressions with square roots can be simplified by using the letter 'i' to represent the square root of a negative number. The square root of minus one √(−1) is the unit imaginary number, the equivalent of 1 for real numbers. That is, no digit pair should straddle a decimal point. In mathematics the symbol for √(−1) is i for . Solving the second equation for the variable b, we . The principal square root is the positive square root. To find a square root of a given complex number z, you first want to find a complex number w which has half the argument of z (since squaring doubles the .

We can't solve this system as quickly as we did when we found the square root of i, but it still can be done.

But the principal square root of 9 is only 3. To use imaginary numbers to simplify a square root with a negative radicand. Complex expressions with square roots can be simplified by using the letter 'i' to represent the square root of a negative number. The square root of complex number can be calculated by substituting the values in formula. To find a square root of a given complex number z, you first want to find a complex number w which has half the argument of z (since squaring doubles the . Simplifying square roots using imaginary number i. Solving the second equation for the variable b, we . The square root of minus one √(−1) is the unit imaginary number, the equivalent of 1 for real numbers. So let us call this new number i and use it to represent the square root of. In mathematics the symbol for √(−1) is i for . We can't solve this system as quickly as we did when we found the square root of i, but it still can be done. That is, no digit pair should straddle a decimal point. The square root of a + ib is ± (√{√(a2 + b2) + a/2} + ib/|b| √{[ .

49+ How To Solve Square Roots With Imaginary Numbers PNG. That is, no digit pair should straddle a decimal point. Simplifying square roots using imaginary number i. But the principal square root of 9 is only 3. In mathematics the symbol for √(−1) is i for . Find the square root of a complex number.