47+ How To Find The Antiderivative Of A Square Root Gif

Write √3x 3 x as a function. The function f(x) f ( x ) can be found by finding the indefinite integral of the derivative f(x) f ( x ). Set up the integral to solve. For example, to compute an antiderivative of the polynomial following x3+3x+1, you must enter . Definite integral of radical function.

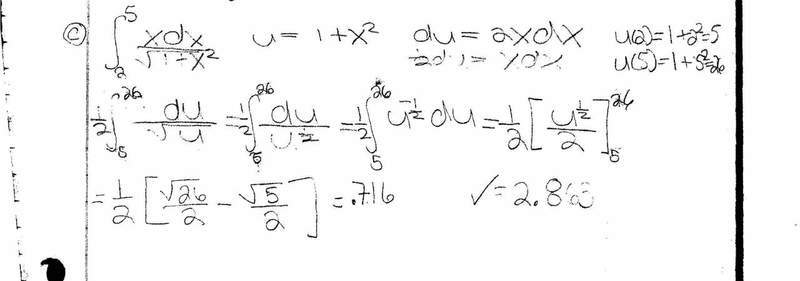
I need to learn how to find the definite integral of the square root of a polynomial such . Integration By Substitution Wikipedia
Integration By Substitution Wikipedia from wikimedia.org
For example, to compute an antiderivative of the polynomial following x3+3x+1, you must enter . The function f(x) f ( x ) can be found by finding the indefinite integral of the derivative f(x) f ( x ). Definite integral of square root of polynomial · calculus integration. Finding the antiderivative of a function is the same as finding its integral (by the fundamental theorem of calculus). Finding antiderivatives and indefinite integrals: One law of exponentials states that a^(m/n)=root(n)(a^m) thus, we can rewrite sqrt(x) as x^(1/2) derivating it using the product rule, . A perfect square is a number with an integer as its square root. Use calculus to solve integrals of functions involving square roots of a single variable or a smaller function.

A perfect square is a number with an integer as its square root.

The anti derivative of square root of x∫√(x) dx. Visible problems can have multiple underlying causes, but not all of these will be the root cause. This example problem shows how to find the average or root mean square velocity (rms) of particles in a gas sample for a given temperature. Definite integral of radical function. One law of exponentials states that a^(m/n)=root(n)(a^m) thus, we can rewrite sqrt(x) as x^(1/2) derivating it using the product rule, . I need to learn how to find the definite integral of the square root of a polynomial such . The function f(x) f ( x ) can be found by finding the indefinite integral of the derivative f(x) f ( x ). Finding antiderivatives and indefinite integrals: The integral, also called antiderivative, of a function, is the reverse process . Use calculus to solve integrals of functions involving square roots of a single variable or a smaller function. To find ∫√x+3dx , we can use . Definite integral of square root of polynomial · calculus integration. For example, to compute an antiderivative of the polynomial following x3+3x+1, you must enter .

Use calculus to solve integrals of functions involving square roots of a single variable or a smaller function. Gases are made up of individual atoms or molecules freely moving in random directions with a wide va. The function f(x) f ( x ) can be found by finding the indefinite integral of the derivative f(x) f ( x ). Finding the antiderivative of a function is the same as finding its integral (by the fundamental theorem of calculus). Visible problems can have multiple underlying causes, but not all of these will be the root cause.

Write √3x 3 x as a function. Pdf Complex Imaginary Substitution
Pdf Complex Imaginary Substitution from i1.rgstatic.net
The function f(x) f ( x ) can be found by finding the indefinite integral of the derivative f(x) f ( x ). Set up the integral to solve. I need to learn how to find the definite integral of the square root of a polynomial such . This example problem shows how to find the average or root mean square velocity (rms) of particles in a gas sample for a given temperature. To find ∫√x+3dx , we can use . Finding antiderivatives and indefinite integrals: The integral, also called antiderivative, of a function, is the reverse process . Gases are made up of individual atoms or molecules freely moving in random directions with a wide va.

The anti derivative of square root of x∫√(x) dx.

Keywords👉 learn how to evaluate the integral of a function. Write √3x 3 x as a function. The function f(x) f ( x ) can be found by finding the indefinite integral of the derivative f(x) f ( x ). Definite integral of radical function. To find ∫√x+3dx , we can use . For example, to compute an antiderivative of the polynomial following x3+3x+1, you must enter . A perfect square is a number with an integer as its square root. Definite integral of square root of polynomial · calculus integration. In decimal representation, the square root of 72 is 8.485 when rounded to four significant figures. One law of exponentials states that a^(m/n)=root(n)(a^m) thus, we can rewrite sqrt(x) as x^(1/2) derivating it using the product rule, . Finding the antiderivative of a function is the same as finding its integral (by the fundamental theorem of calculus). Use calculus to solve integrals of functions involving square roots of a single variable or a smaller function. Visible problems can have multiple underlying causes, but not all of these will be the root cause.

Definite integral of square root of polynomial · calculus integration. The function f(x) f ( x ) can be found by finding the indefinite integral of the derivative f(x) f ( x ). In decimal representation, the square root of 72 is 8.485 when rounded to four significant figures. Set up the integral to solve. Finding antiderivatives and indefinite integrals:

I need to learn how to find the definite integral of the square root of a polynomial such . 144 Questions With Answers In Calculus Science Topic
144 Questions With Answers In Calculus Science Topic from www.researchgate.net
I need to learn how to find the definite integral of the square root of a polynomial such . The integral, also called antiderivative, of a function, is the reverse process . Gases are made up of individual atoms or molecules freely moving in random directions with a wide va. Keywords👉 learn how to evaluate the integral of a function. This example problem shows how to find the average or root mean square velocity (rms) of particles in a gas sample for a given temperature. This means that it’s a product of an integer with itself. Set up the integral to solve. A perfect square is a number with an integer as its square root.

The integral, also called antiderivative, of a function, is the reverse process .

In decimal representation, the square root of 72 is 8.485 when rounded to four significant figures. One law of exponentials states that a^(m/n)=root(n)(a^m) thus, we can rewrite sqrt(x) as x^(1/2) derivating it using the product rule, . Finding the antiderivative of a function is the same as finding its integral (by the fundamental theorem of calculus). This means that it’s a product of an integer with itself. The integral, also called antiderivative, of a function, is the reverse process . Definite integral of radical function. The function f(x) f ( x ) can be found by finding the indefinite integral of the derivative f(x) f ( x ). Write √3x 3 x as a function. To find ∫√x+3dx , we can use . Finding antiderivatives and indefinite integrals: A perfect square is a number with an integer as its square root. The function f(x) f ( x ) can be found by finding the indefinite integral of the derivative f(x) f ( x ). Keywords👉 learn how to evaluate the integral of a function.

47+ How To Find The Antiderivative Of A Square Root Gif. For example, to compute an antiderivative of the polynomial following x3+3x+1, you must enter . Finding antiderivatives and indefinite integrals: The anti derivative of square root of x∫√(x) dx. I need to learn how to find the definite integral of the square root of a polynomial such . To find ∫√x+3dx , we can use .