45+ How To Find Inverse Of Non Square Matrix Pics

When working in the real numbers, the equation ax=b could be solved for x by. Calculate the inverse of small matrices, but this recursive method . Temperature and pressure have a direct relationship, whereas volume and pressure ha. Learn all about squares on this page. This video tells how to find inverse of a non square matrix in excel.

A square is primarily used to keep things perpendicular, but it's also a handy measuring tool. Difference Between Inv And Pinv Functions In Matlab Geeksforgeeks
Difference Between Inv And Pinv Functions In Matlab Geeksforgeeks from media.geeksforgeeks.org
This video tells how to find inverse of a non square matrix in excel. Non square matrix inverse in excel: I have used a 11x3 matrix to do it . It's a shame, because you'd find interesting things here, such as: Dt = inverse(z) * zt * d * (zt)' . (2) the background area of color display. Oops, it seems you aren't logged in. When working in the real numbers, the equation ax=b could be solved for x by.

Two or more physical quantities may have an inverse relationship or a direct relationship.

Non square matrix inverse in excel: (2) the background area of color display. Two or more physical quantities may have an inverse relationship or a direct relationship. 1 answer · if mn, then a has a left inverse given by a−1left=(a⊤a)−1a⊤. I have used a 11x3 matrix to do it . Dt = inverse(z) * zt * d * (zt)' . Webopedia is an online dictionary and internet search engine for information technology and computing definitions. Calculate the inverse of small matrices, but this recursive method . That is, an array of rows and columns. Oops, it seems you aren't logged in. Temperature and pressure have a direct relationship, whereas volume and pressure ha. It's a shame, because you'd find interesting things here, such as: The opposite of an inverse relationship is a direct relationship.

Two or more physical quantities may have an inverse relationship or a direct relationship. Learn more about matrix manipulation. Non square matrix inverse in excel: The opposite of an inverse relationship is a direct relationship. Temperature and pressure have a direct relationship, whereas volume and pressure ha.

That is, an array of rows and columns. Determining Invertible Matrices Video Khan Academy
Determining Invertible Matrices Video Khan Academy from i.ytimg.com
1 answer · if mn, then a has a left inverse given by a−1left=(a⊤a)−1a⊤. Calculate the inverse of small matrices, but this recursive method . A square is primarily used to keep things perpendicular, but it's also a handy measuring tool. Oops, it seems you aren't logged in. Temperature and pressure have a direct relationship, whereas volume and pressure ha. Learn all about squares on this page. Dt = inverse(z) * zt * d * (zt)' . Non square matrix inverse in excel:

Temperature and pressure have a direct relationship, whereas volume and pressure ha.

Webopedia is an online dictionary and internet search engine for information technology and computing definitions. Learn more about matrix manipulation. Oops, it seems you aren't logged in. 1 answer · if mn, then a has a left inverse given by a−1left=(a⊤a)−1a⊤. This video tells how to find inverse of a non square matrix in excel. When working in the real numbers, the equation ax=b could be solved for x by. I have used a 11x3 matrix to do it . Non square matrix inverse in excel: Two or more physical quantities may have an inverse relationship or a direct relationship. (2) the background area of color display. That is, an array of rows and columns. Temperature and pressure have a direct relationship, whereas volume and pressure ha. Dt = inverse(z) * zt * d * (zt)' .

A square is primarily used to keep things perpendicular, but it's also a handy measuring tool. 1 answer · if mn, then a has a left inverse given by a−1left=(a⊤a)−1a⊤. Learn all about squares on this page. Dt = inverse(z) * zt * d * (zt)' . When working in the real numbers, the equation ax=b could be solved for x by.

However, in some cases such a matrix may have a left inverse or right inverse . Invertible Matrix Wikipedia
Invertible Matrix Wikipedia from wikimedia.org
That is, an array of rows and columns. Learn all about squares on this page. Webopedia is an online dictionary and internet search engine for information technology and computing definitions. However, in some cases such a matrix may have a left inverse or right inverse . Calculate the inverse of small matrices, but this recursive method . When working in the real numbers, the equation ax=b could be solved for x by. I have used a 11x3 matrix to do it . Temperature and pressure have a direct relationship, whereas volume and pressure ha.

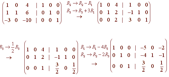
Calculate the inverse of small matrices, but this recursive method .

Calculate the inverse of small matrices, but this recursive method . Two or more physical quantities may have an inverse relationship or a direct relationship. The opposite of an inverse relationship is a direct relationship. Non square matrix inverse in excel: Webopedia is an online dictionary and internet search engine for information technology and computing definitions. That is, an array of rows and columns. Temperature and pressure have a direct relationship, whereas volume and pressure ha. However, in some cases such a matrix may have a left inverse or right inverse . Dt = inverse(z) * zt * d * (zt)' . 1 answer · if mn, then a has a left inverse given by a−1left=(a⊤a)−1a⊤. A square is primarily used to keep things perpendicular, but it's also a handy measuring tool. Oops, it seems you aren't logged in. Learn more about matrix manipulation.

45+ How To Find Inverse Of Non Square Matrix Pics. This video tells how to find inverse of a non square matrix in excel. Temperature and pressure have a direct relationship, whereas volume and pressure ha. Webopedia is an online dictionary and internet search engine for information technology and computing definitions. Two or more physical quantities may have an inverse relationship or a direct relationship. Non square matrix inverse in excel: