45+ Derive Moment Generating Function Of Chi Square Distribution Pictures

The moment generating function of a gamma random variable is:. This video shows how to derive the mean, the variance & the moment generating function (mgf) for chi squared distribution in english. The moment generating function (mgf) of a random variable x is. In this video i highlight the link between the gamma distribution and the chi square and how we can use this knowledge to derive the moment . Let n be a strictly positive integer.

Let n be a strictly positive integer. Moment Generating Function Wikipedia
Moment Generating Function Wikipedia from wikimedia.org
In this video i highlight the link between the gamma distribution and the chi square and how we can use this knowledge to derive the moment . This video shows how to derive the mean, the variance & the moment generating function (mgf) for chi squared distribution in english. But then you need the mgf of z2i which is χ2 with 1 degree of freedom. The moment generating function of a gamma random variable is:. Let n be a strictly positive integer. Yes, since χ2 is a sum of z2i the mgf is a product of individual summands. The moment generating function (mgf) of a random variable x is.

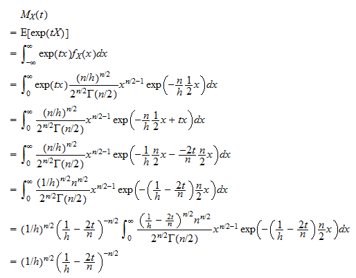
The moment generating function (mgf) of a random variable x is.

This video shows how to derive the mean, the variance & the moment generating function (mgf) for chi squared distribution in english. Let n be a strictly positive integer. The moment generating function of a gamma random variable is:. But then you need the mgf of z2i which is χ2 with 1 degree of freedom. In this video i highlight the link between the gamma distribution and the chi square and how we can use this knowledge to derive the moment . Yes, since χ2 is a sum of z2i the mgf is a product of individual summands. The moment generating function (mgf) of a random variable x is.

Yes, since χ2 is a sum of z2i the mgf is a product of individual summands. This video shows how to derive the mean, the variance & the moment generating function (mgf) for chi squared distribution in english. But then you need the mgf of z2i which is χ2 with 1 degree of freedom. The moment generating function of a gamma random variable is:. The moment generating function (mgf) of a random variable x is.

Yes, since χ2 is a sum of z2i the mgf is a product of individual summands. Solved Definition If U U2 Un Are Independent Chegg Com
Solved Definition If U U2 Un Are Independent Chegg Com from media.cheggcdn.com
This video shows how to derive the mean, the variance & the moment generating function (mgf) for chi squared distribution in english. In this video i highlight the link between the gamma distribution and the chi square and how we can use this knowledge to derive the moment . The moment generating function of a gamma random variable is:. Yes, since χ2 is a sum of z2i the mgf is a product of individual summands. Let n be a strictly positive integer. The moment generating function (mgf) of a random variable x is. But then you need the mgf of z2i which is χ2 with 1 degree of freedom.

In this video i highlight the link between the gamma distribution and the chi square and how we can use this knowledge to derive the moment .

This video shows how to derive the mean, the variance & the moment generating function (mgf) for chi squared distribution in english. But then you need the mgf of z2i which is χ2 with 1 degree of freedom. The moment generating function of a gamma random variable is:. Yes, since χ2 is a sum of z2i the mgf is a product of individual summands. In this video i highlight the link between the gamma distribution and the chi square and how we can use this knowledge to derive the moment . Let n be a strictly positive integer. The moment generating function (mgf) of a random variable x is.

Yes, since χ2 is a sum of z2i the mgf is a product of individual summands. This video shows how to derive the mean, the variance & the moment generating function (mgf) for chi squared distribution in english. The moment generating function of a gamma random variable is:. But then you need the mgf of z2i which is χ2 with 1 degree of freedom. The moment generating function (mgf) of a random variable x is.

The moment generating function (mgf) of a random variable x is. Chi Squared Distribution And The Central Limit Theorem Wolfram Demonstrations Project
Chi Squared Distribution And The Central Limit Theorem Wolfram Demonstrations Project from demonstrations.wolfram.com
Yes, since χ2 is a sum of z2i the mgf is a product of individual summands. In this video i highlight the link between the gamma distribution and the chi square and how we can use this knowledge to derive the moment . But then you need the mgf of z2i which is χ2 with 1 degree of freedom. The moment generating function (mgf) of a random variable x is. Let n be a strictly positive integer. The moment generating function of a gamma random variable is:. This video shows how to derive the mean, the variance & the moment generating function (mgf) for chi squared distribution in english.

Let n be a strictly positive integer.

In this video i highlight the link between the gamma distribution and the chi square and how we can use this knowledge to derive the moment . Yes, since χ2 is a sum of z2i the mgf is a product of individual summands. The moment generating function (mgf) of a random variable x is. But then you need the mgf of z2i which is χ2 with 1 degree of freedom. This video shows how to derive the mean, the variance & the moment generating function (mgf) for chi squared distribution in english. The moment generating function of a gamma random variable is:. Let n be a strictly positive integer.

45+ Derive Moment Generating Function Of Chi Square Distribution Pictures. But then you need the mgf of z2i which is χ2 with 1 degree of freedom. The moment generating function of a gamma random variable is:. This video shows how to derive the mean, the variance & the moment generating function (mgf) for chi squared distribution in english. Yes, since χ2 is a sum of z2i the mgf is a product of individual summands. Let n be a strictly positive integer.